इंदौरः बार-बार यातायात नियमों का उल्लंघन करने पर 31 वाहनों का पंजीयन होगा निरस्त
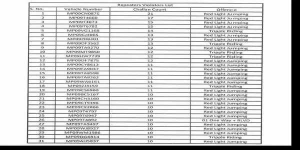
इन्दौर, 09 जुलाई (हि.स.)। इंदौर शहर में लगातार यातायात नियमों की अवहेलना कर रहे वाहन चालकों के खिलाफ प्रशासन ने सख्त रुख अपनाया है। कलेक्टर आशीष सिंह ने गत दिवस सम्पन्न आईटीएमएस (इंटेलिजेंट ट्रैफिक मैनेजमेंट सिस्टम) की समीक्षा बैठक में निर्देश दिये थे कि 10 से अधिक बार यातायात नियमों का उल्लंघन करने वाले वाहनों के पंजीयन निरस्त किये जाये। उन्होंने क्षेत्रीय परिवहन अधिकारी (RTO) को बार-बार नियम तोड़ने वाले वाहनों के पंजीयन निरस्त करने की प्रक्रिया शुरू करने के निर्देश दिए। परिवहन विभाग द्वारा कार्यवाही प्रारंभ कर दी गई है। परिवहन विभाग द्वारा बुधवार को 31 वाहन मालिकों को पंजीयन निरस्ती के लिए नोटिस भेज दिये हैं।
क्षेत्रीय परिवहन अधिकारी प्रदीप शर्मा ने बताया कि स्मार्ट सिटी डेवलपमेंट कंपनी के माध्यम से आरटीओ कार्यालय को 31 ऐसे वाहनों की सूची प्राप्त हुई है, जिन पर 10 से अधिक बार रेड लाइट जम्प या अन्य प्रकार के गंभीर यातायात उल्लंघन के प्रकरण दर्ज हैं। इन सभी वाहन स्वामियों को आरटीओ द्वारा नोटिस जारी कर सात दिवस में जवाब मांगा गया है। स्पष्ट किया गया है कि यदि निर्धारित समयावधि में संतोषजनक जवाब नहीं दिया गया, तो पहले पंजीयन निलंबित और उसके बाद निरस्तीकरण की कार्रवाई की जाएगी।
कलेक्टर आशीष सिंह ने कहा है कि यातायात अनुशासन बनाए रखने और सड़क दुर्घटनाओं पर नियंत्रण के लिए नियमों का पालन अनिवार्य है। बार-बार उल्लंघन करने वालों के विरूद्ध सख्त कार्यवाही होगी। यह पहल इंदौर को सुरक्षित और सुगम यातायात व्यवस्था वाला शहर बनाने की दिशा में एक महत्वपूर्ण कदम है।
हिन्दुस्थान समाचार / मुकेश तोमर

