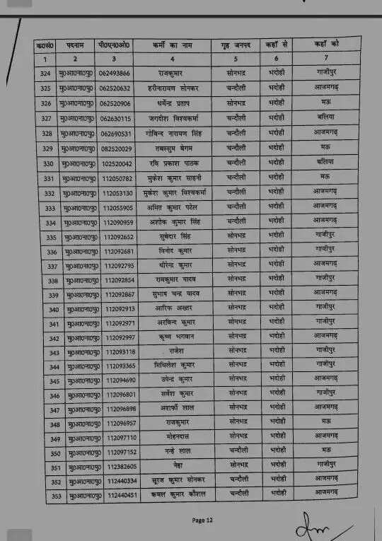
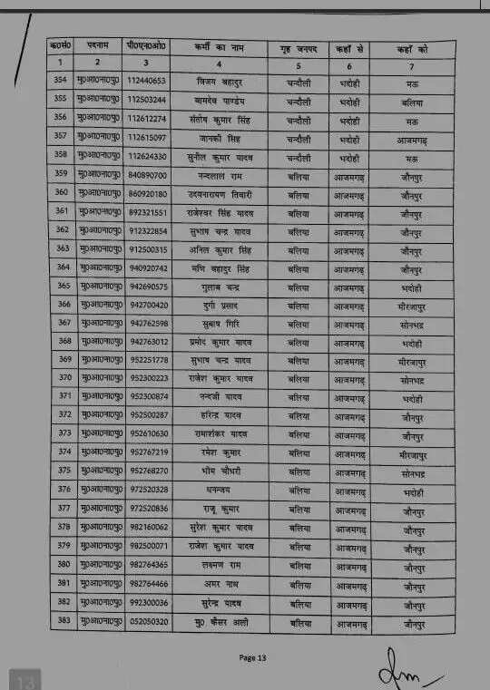
वाराणसी जोन के 542 सिपाहियों का तबादला, गैर जनपद भेजे गए, देखिये सूची
Updated: Jun 14, 2025, 21:01 IST
WhatsApp
Channel
Join Now
वाराणसी। अपर पुलिस महानिदेशक वाराणसी जोन पीयूष मोर्डिया ने 542 मुख्य आरक्षियों का गैर जनपद स्थानांतरण किया है। वाराणसी, विंध्याचल और आजमगढ़ रेंज के आईजी, डीआईजी की संस्तुतियों के आधार पर मुख्य आरक्षियों के तबादले किए गए हैं।
देखिये सूची ..



















